2025년 공무원 봉급표, 2025 군인 월급, 교사 호봉표
2025년 공무원 봉급이 평균 3% 인상되었으며, 특히 초임 공무원들에게는 추가적인 인상률이 적용되었습니다. 예를 들어 9급 1호봉의 경우, 기본 인상률 3%에 추가 3.6%가 더해져 총 6.6%가 인상되었습니다. 이는 사회 초년생 공무원들이 안정적으로 생활할 수 있도록 돕고 물가 상승에 대응하기 위한 것입니다.



7-9급 저연차 공무원들에게도 추가 혜택이 제공되어, 이들의 실질적인 소득 증가를 기대할 수 있습니다. 이러한 정책은 경제적 형평성을 강화하고 공무원의 생활 안정성을 높이는 데 목표를 두고 있습니다.
일반직렬 2025년 공무원 봉급표
일반직렬 2025년 공무원 봉급표는 각 직급별로 경력에 따라 명확히 책정되었습니다. 이러한 체계는 공정성을 유지하며, 직무의 중요성과 책임 수준에 따라 적절한 보상이 이루어지도록 설계되었습니다.
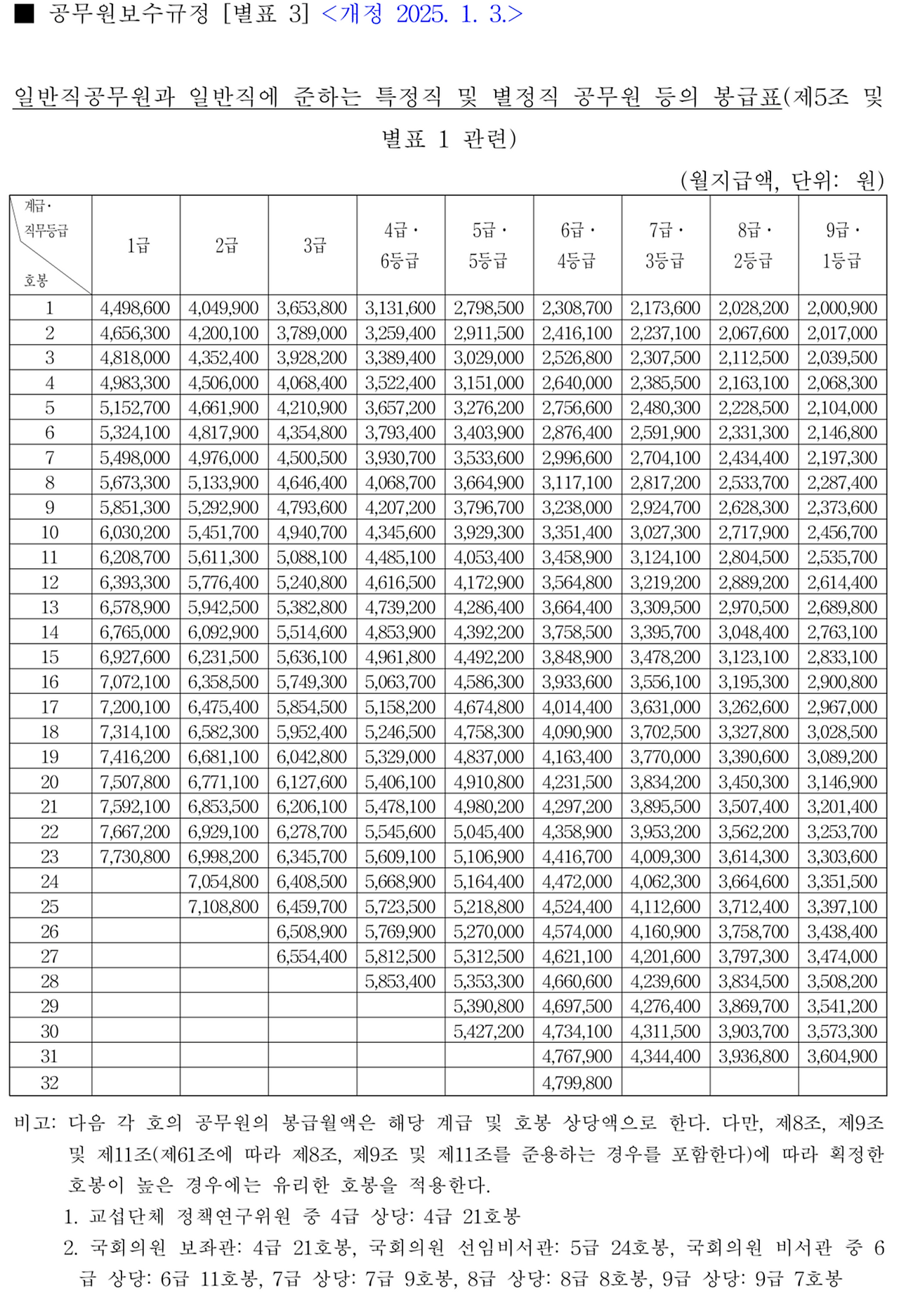
일반직 공무원 급여 체계
일반직 공무원의 급여는 직급과 호봉에 따라 차등 지급되며, 2025년에는 평균 3%의 인상이 적용되었습니다. 주요 봉급표는 다음과 같습니다:

- 9급 1호봉: 2,000,900원
- 9급 5호봉: 2,104,000원
- 8급 1호봉: 2,028,200원
- 8급 5호봉: 2,228,500원
- 7급 1호봉: 2,173,600원
- 7급 10호봉: 3,027,300원
- 6급 10호봉: 3,351,400원
이와 함께 근속에 따른 수당과 가족수당이 추가 지급됩니다. 이러한 변화는 장기근속을 유도하고 공무원의 안정적인 생활을 보장하기 위한 것입니다.
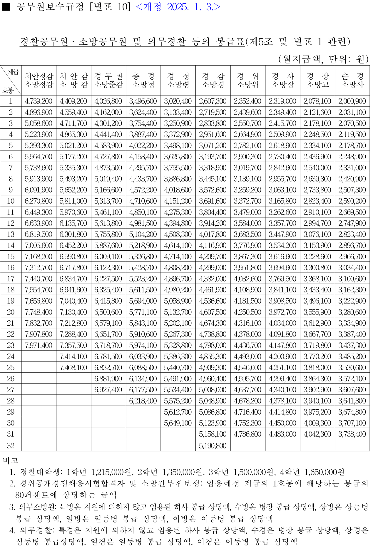
경찰공무원 및 소방 공무원 봉급표 2025
경찰공무원과 소방 공무원의 봉급은 2025년에 전반적인 개선을 이루었습니다. 이러한 변화는 치안과 재난 대응 업무를 수행하는 공무원들의 사기를 높이고, 직무 수행 여건을 향상시키기 위해 설계되었습니다.
기본급 및 수당 변화
2025년 경찰공무원과 소방 공무원의 봉급은 기본급과 수당이 전반적으로 개선되었습니다. 주요 변화를 정리하면 다음과 같습니다:

- 기본급 평균 인상: 모든 직급에서 3%씩 상승.
- 가족수당 확대: 자녀 수에 따라 수당이 증가.
- 근속수당 강화: 장기 근속자를 위한 보상이 확대.
- 성과급 개선: 우수 성과를 낸 공무원에게 추가적인 보상이 지급.
- 특별수당 신설: 특정 직무에 대해 새로운 수당이 추가됨.
또한, 특정 지역에서 근무하는 공무원들에게 지역 수당이 신설되거나 강화되었습니다. 이는 지역 간 격차를 줄이고 인재를 적재적소에 배치하려는 노력의 일환입니다.
2025년 군인 월급
2025년 군인 월급은 병사와 간부 모두를 대상으로 한 대규모 인상 조치를 포함하고 있습니다. 이는 군 복무 중인 모든 계층의 경제적 안정성을 높이고, 복지 수준을 개선하려는 정부의 노력을 반영한 것입니다.
병사 급여 인상
2025년 병사들의 급여가 크게 인상되었습니다. 이는 군 복무 중 병사들의 경제적 부담을 줄이고 복지를 향상시키기 위한 조치입니다:
- 이등병: 750,000원
- 일등병: 900,000원
- 상등병: 1,200,000원
- 병장: 1,500,000원
이 같은 인상은 단순히 금전적 보상뿐만 아니라 군 복무 환경을 개선하고 사기를 높이려는 정부의 의지를 반영합니다.
장교 및 부사관 급여
군 간부의 급여는 계급과 경력에 따라 차등 지급됩니다. 주요 급여는 다음과 같습니다:

- 소위 (1호봉): 월급 2,017,300원
- 대위 (4호봉): 월급 3,077,600원
- 대령 (12호봉): 월급 6,183,000원
- 중장: 월급 9,127,800원
- 대장: 월급 9,293,500원
사관생도와 군 부사관 후보생도 급여가 인상되어 군 복무 중에도 경제적 안정감을 느낄 수 있도록 지원하고 있습니다. 가족수당과 주거비 지원 역시 간부들에게 제공되고 있습니다.
2025년 교사 호봉표
2025년 교사 호봉표는 교육 공무원의 급여 체계를 명확히 하여 경력에 따른 보상을 강화하는 내용을 담고 있습니다. 이는 교사들의 경제적 안정성을 높이고, 교육의 질을 개선하기 위한 정책적 변화로 평가받고 있습니다.
초·중·고 교사 급여 체계
교사 급여는 경력에 따라 호봉이 올라가는 체계로 이루어져 있습니다. 2025년 교사 호봉표의 주요 내용은 다음과 같습니다:

- 1호봉: 1,915,100원
- 10호봉: 2,387,800원
- 20호봉: 3,363,300원
- 근가호봉 추가: 78,300원
교사들에게는 학급 운영비와 교재비 지원금이 별도로 지급됩니다. 이는 교육의 질을 높이고 교사들이 더 나은 환경에서 가르칠 수 있도록 돕는 역할을 합니다.
국립대학 교원 급여 체계
국립대학 교원들의 급여는 직위에 따라 차등 지급됩니다. 주요 직위별 급여는 다음과 같습니다:

- 국립대학 총장: 9,293,500원
- 교수 (평균): 4,500,000원
- 조교수 (평균): 3,200,000원
추가적으로, 연구성과나 학생 수에 따라 별도의 성과급과 연구비가 지급됩니다. 이는 대학의 교육과 연구 수준을 높이는 데 중요한 역할을 합니다.
나머지 직렬 공무원 봉급표
2025 우정직 공무원 봉급표

2025년 공안직 공무원 봉급표

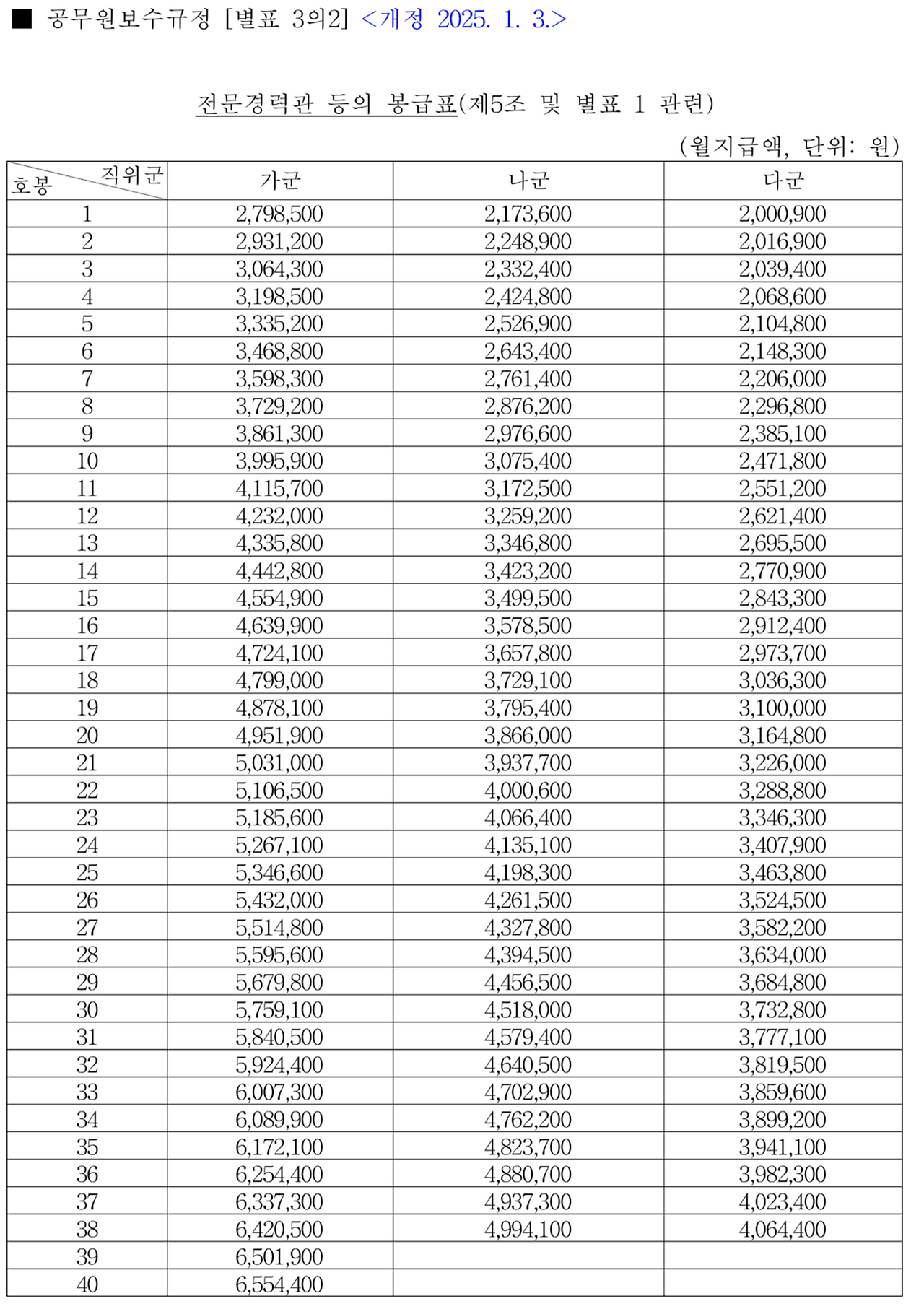
2025 전문경력관 등의 봉급표

2025 지도직 공무원 봉급표

결론
2025년 공무원 봉급, 군인 월급, 교사 호봉표의 변화는 공무원과 군인, 교사 모두에게 경제적 안정성을 제공하려는 정부의 의도를 잘 보여줍니다. 특히 저연차 공무원과 병사, 교사들에게 초점을 맞춘 인상은 각 계층의 생활 안정에 기여할 것으로 기대됩니다. 이 정책은 경제적 부담을 줄이고, 사회적 형평성을 높이는 데 중요한 역할을 할 것입니다.